新葡京娱乐-葡京娱乐场_百家乐玩法_全讯网导航 (中国)·官方网站

En

紅樹林濕地課題組揭示紅樹植物單寧的重要生理生態作用——抗氧化與抗菌功能背后的構效關系

來源:生命與海洋科學學院 發布時間:2025-04-09 16:53 點擊數: Views

2025年3月,深圳大學生命與海洋科學學院周海超副教授研究團隊在生物學TOP期刊International Journal of Biological Macromolecules上在線發表題為“Unlocking the structure-activity relationship of mangrove condensed and hydrolysable tannins: Unveiling their potential ecological significance in antioxidant and antibacterial functions”的研究論文。該研究系統解析了紅樹植物縮合單寧與水解單寧的結構-活性關系,揭示了這兩類天然多酚化合物在抗氧化與抗菌功能中的關鍵作用,為紅樹林生態功能保護與天然產物開發提供了潛在的新視角。

紅樹林生態系統作為熱帶和亞熱帶潮間帶的獨特濕地生態系統,具有極高的生態價值。植物單寧一直被認為是紅樹林之所以為“紅”的主要原因。單寧作為重要的植物次生代謝產物,在紅樹植物皮和葉片等組織中高達20-40%干重含量,具有獨特的活性及復雜結構特征,對紅樹植物適應環境和調節紅樹林生態系統的生態過程起著關鍵作用。

本研究探究了不同紅樹植物單寧的結構及其抗氧化活性關系,并進一步分析不同單寧對紅樹林沉積物微生物的影響作用。該研究以中國常見的三種紅樹林植物:秋茄(Kandelia obovata)、桐花樹(Aegiceras corniculatum)和無瓣海桑(Sonneratia apetala)作為研究對象,利用基質輔助激光解析電離飛行時間質譜(MALDI-TOF MS)以及高效液相色譜電噴霧電離質譜(HPLC-ESI-MS)等技術,對葉片中的單寧結構進行了深入分析。研究發現,秋茄和桐花樹富含縮合單寧(CT),其主要結構單元分別為原花青素(PC)和原兒茶素(PD),而無瓣海桑則以水解單寧(HT)為主的復雜單寧,水解單寧其主要結構單元為沒食子酸(GA)和棓酸(EA)。

圖1 不同紅樹植物單寧結構化學分析

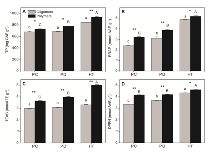
抗氧化活性測試中,研究采用了Folin-Ciocalteu、FRAP、TEAC和DPPH四種方法,結果顯示HT的抗氧化能力最強,其次是PD和PC,且聚合體的抗氧化活性普遍高于寡聚體(圖2)。這主要歸因于結構中對苯二酚和兒茶酚型羥基的數量和位置,HT因富含GA而具有更多的羥基,從而表現出更強的抗氧化活性(圖1)。

圖2 不同紅樹植物單寧抗氧化活性測試

抗菌活性測試則針對從紅樹林沉積物中分離出的10株細菌,包括放線菌門、變形菌門和擬桿菌門的多個屬。結果表明,無瓣海桑的HT對所有測試菌株均表現出強烈的抑制作用,而秋茄樹的CT抗菌效果與HT相當,且顯著強于桐花樹的CT,其中桐花樹的CT對不同菌株的抑制效果差異顯著(圖3)。

圖3 不同紅樹植物單寧抗菌活性測試

該項研究不僅系統地解析了紅樹林單寧的結構特征,還深入探討了其抗氧化和抗菌活性的結構基礎,為理解紅樹林生態系統中單寧的生態功能提供了重要的理論依據(圖4)。研究結果有助于揭示紅樹林植物在生態系統中的適應性和進化策略,也為紅樹林生態系統的保護和可持續利用提供了科學指導。基于這些發現,有望開發出具有特定生態功能的紅樹林植物資源,為紅樹林生態修復和生物多樣性保護提供新的思路和方法。

圖4 紅樹林生態系統中植物單寧的抗氧化活性和抗菌活性機制的工作模型

深圳大學為第一完成單位,合作單位包括香港都會大學等,生命與海洋科學學院副研究員郎濤為第一作者,副教授周海超為論文通訊作者。本研究獲國家自然科學基金委、廣東省基礎與應用基礎研究基金、深圳市科技創新委員會創新項目、中國香港特別行政區研究資助委員會項目的資助。

論文鏈接:https://doi.org/10.1016/j.ijbiomac.2025.141918

齐齐哈尔市| 基隆市| 怎样玩百家乐才能| 百家乐官网乐百家娱乐场| 澳门百家乐是骗人的| 网上百家乐赌博犯法吗| 大发888游戏下载官网免费| 百家乐官网赌假的工具| 新葡京百家乐官网娱乐城| 百家乐龙虎规则| 大发888真人游戏平台| bet365 体育在线uo| 百家乐官网怎么样玩| 百家乐官网真人百家乐官网皇冠开户| 赌博百家乐游戏| 福清市| 娱乐城百家乐送白菜| 百家乐官网游戏研发| 百家乐单机游戏免费| 合江县| 澳门百家乐几副牌| 百家乐官网试玩账户| 百家乐玩法秘决| 清水县| 百家乐大西洋| 富易堂百家乐官网娱乐城| 百家乐官网真人游戏投注网| 玩百家乐技巧看| 赌博百家乐官网的玩法技巧和规则 | 属猪的人做生意摆放什么聚财| 犹太人百家乐的玩法技巧和规则| 乐百家娱乐| 百家乐群121398015| 百家乐官网跟路技巧| 大发888中文版下载| 真人百家乐官网最高赌注| 鱼台县| 全讯网新2网站112| 百家乐官网发牌规| 长寿区| 舟山星空棋牌首页|