新葡京娱乐-葡京娱乐场_百家乐玩法_全讯网导航 (中国)·官方网站

En

物理與光電工程學院姜維超副教授課題組在強阿秒脈沖下氦原子的電離延時機制方面取得重要進展

來源:物理與光電工程學院 發布時間:2024-11-26 17:37 點擊數: Views

近日,深圳大學物理與光電工程學院和量子精密測量研究所姜維超副教授課題組、北京大學彭良友教授課題組聯合奧地利維也納技術大學Joachim Burgd?rfer教授課題組以“Time Delays as Attosecond Probe of Interelectronic Coherence and Entanglement”為題在Physical Review Letters雜志上發表最新理論研究成果,研究首次揭示了氦原子在強阿秒激光脈沖下的電離延時機制。

2023年諾貝爾物理學獎授予了美國俄亥俄州立大學的Pierre Agostini、德國馬普學會量子光學研究所和慕尼黑大學的Ferenc Krausz、瑞典隆德大學的Anne L’Huillier,以表彰他們“開發了阿秒光脈沖的實驗方法,以研究物質中的電子動力學”。阿秒脈沖的一個重要應用是確定光電離的“時間零點”,即電離電子的波包離開離子核的時間延遲。這一過程對于理解原子和分子在強激光場中的行為至關重要。傳統的實驗技術難以捕捉到如此短暫的時間延遲,但近年來,阿秒條紋相機(attosecond streaking)和通過雙光子躍遷干涉(RABBIT)技術的出現,使得觀察阿秒量級的電離延時成為可能。受限于現有的阿秒脈沖的強度,目前的實驗測量主要針對一階微擾電離過程。

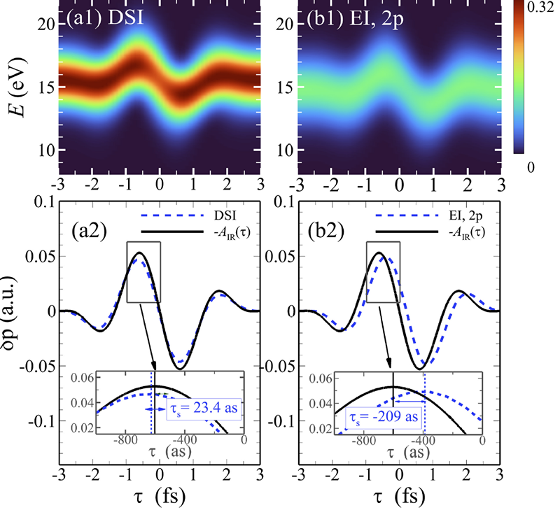
圖1:直接電離通道(DSI)與激發電離通道(EI)的阿秒條紋譜。

研究團隊通過數值精確求解含時薛定諤方程的方法,對氦原子在強阿秒脈沖下非微擾區域的電離延時以及阿秒條紋相機譜進行了理論研究。他們將阿秒脈沖的光子能量限定在40 eV。當阿秒脈沖的強度足夠高時,阿秒脈沖可以在He+的基態和第一激發態之間誘導出拉比振蕩,從而從He原子中發射兩種單電離雙電子波包。這兩種單電離雙電子波包對應的自由電子具有相近的能量,而其對應的束縛態電子則分別處于He+的基態(直接電離通道)和第一激發態(激發電離通道)。理論研究發現,兩個電離通道產生的光電子的電離延時差異很大,且均對阿秒脈沖的強度和長度十分敏感。傳統在線性微擾區域建立的電離延時圖像不再適用。為了解析這種有趣且復雜的非線性電離延時,研究團隊構建了“條件雙電子(CTE)”模型,直觀呈現了光電子的電離延時如何受到He+束縛態電子的拉比振蕩的調制。CTE模型給出的半解析電離延時結果與數值求解含時薛定諤方程得到的電離延時結果完美相符。

根據現有的實驗測量技術,同時測量自由電子的動能與束縛電子所處的能級尚有不小的難度。當實驗測量不去區分直接電離通道與激發電離通道時,實驗實際測量的是兩種電離通道非相干疊加的結果。光強較低時,實驗測量到的光電離延時反映直接電離通道的電離延時。隨著光強的增強,實驗測量到的電離延時來自兩種電離通道的共同貢獻。研究團隊將實驗測量電離延時與光強的依賴關系與光電子波包“純度”與光強的依賴關系作了對比,發現二者高度相關。因此,光電離延時可以在一定程度上反映該多體系統的糾纏度的演化。

該研究于2024年10月15號發表于Physical Review Letters,深圳大學為第一單位,深圳大學姜維超副教授為論文第一兼共同通訊作者。北京大學教授、深圳大學訪問教授彭良友為論文共同通訊作者。維也納技術大學教授、深圳大學名譽教授Joachim Burgd?rfer為論文合作者。論文作者還包括深圳大學碩士生鐘銘宸、北京大學博士生方永康、維也納技術大學Iva Brezinová教授和Stefan Donsa博士。

DOI:https://doi.org/10.1103/PhysRevLett.133.163201

678百家乐官网博彩娱乐网| 雅加达百家乐官网的玩法技巧和规则 | 紫云| ,瑞丰国际娱乐场| 百家乐官网翻天粤| 大发888游戏平台电子| 国际足球直播| 百家乐官网是怎么赌法| 百家乐出千赌具| 威尼斯人娱乐城真人赌博| 大发888我发财| 帝王百家乐官网全讯网2| 百家乐官网最新破| 百家乐游乐园| 真人娱乐城送体验金18| 百家乐官网破解方法技巧| 女性做生意的风水| 大发888wofacai官网| 波音网址| 新梦想百家乐官网的玩法技巧和规则 | 百家乐官网单注打法| 大发888网址是多少| 注册百家乐官网送彩金 | 和顺县| 百家乐官网贴士介绍| 大发888娱乐城首页| 网络百家乐官网游赌博| 太阳城百家乐注册平台| 申扎县| 百家乐桌现货| 百家乐官网稳定打法| 帝王百家乐全讯网2| 百家乐官网翻天粤语下载| 大发888客服端下载| 百家乐官网真人视频出售| 菠菜百家乐官网娱乐城| 澳门百家乐十大缆| 寿宁县| 好运来百家乐现金网| 蓝盾百家乐| 打百家乐庄闲的技巧|